推荐优秀应届本科毕业生免试攻读研究生(以下简称推免)是研究生多元招生录取机制的重要组成部分,是加强拔尖创新人才选拔, 推动高校提高人才培养质量的重要举措,是激励在校本科生勤奋学习、勇于创新、全面发展的有效手段。按照教育部推免工作相关文件和学 校相关要求,特制定公司推荐优秀应届本科毕业生免试攻读硕士学位研究生实施办法。
一、综合考核打分细则(15分)
1、参军入伍服兵役(满分3分)
参军入伍服兵役加3分。
2、参加志愿服务、到国际组织实习(满分1分)
积极参与各项志愿服务活动,获省级及以上先进个人、省级先进团队成员表彰得1分,省级以下获得0.5分;参与省级及以上大型赛事活动获优秀志愿者称号得1分,省级以下0.5分;到与专业相关国际组织实习满一个月得1分。
3、科研成果(满分5分)
| CSSCI、SSCI、SCI、EI、A&HCI | 第一署名5分 | ||
| 中文核心期刊 | 第一署名3分 | ||
| 国家发明专利授权 | 第一署名4分 | 取得实用新型专利授权 | 第一署名2分 |
说明:①唯一署名等同于第一署名,期刊收录目录以发表当年为准;②论文和专利成果必须和所学专业相关;③论文和专利必须以太阳成集团tyc为第一署名单位;
4、竞赛获奖(满分6分)
获奖种类及等级(排名) | 国际级 | 国家级 |
A类一等奖(第1名) | 6分 | 6分 |
A类二等奖(第2-3名) | 5分 | 5分 |
B类一等奖(第1名) | 5分 | 5分 |
B类二等奖(第2-3名) | 4分 | 4分 |
C类一等奖(第1名) | 4分 | 4分 |
C类二等奖(第2-3名) | 3分 | 3分 |
D类一等奖(第1名) | 3分 | 3分 |
D类二等奖(第2-3名) | 2分 | 2分 |
注:①国际级竞赛活动指联合国教科文组织或其他国际学术团体组织的世界性老员工竞赛活动,具体等级由公司教务处认定;
②获奖类别及标准参照《太阳成集团tyc老员工学科竞赛和创新创业实践活动管理办法》;
③学科类同一项目获奖取最高值不累加,不同项目可累加;
④如获奖成果为员工合作完成,则该项加分分值由参赛员工等分。
5、补充说明
①员工在某一方面中有多项加分情况时,原则上只取一项,且不得为仅符合单一或部分遴选指标的员工单列计划或破格推荐;
②竞赛的最高等级奖等同于本办法表中的一等奖,往下以此类推。例如竞赛最高奖为特等奖,次奖为一等奖,则对应本办法表中的一等奖和二等奖。
二、总成绩=课程成绩+综合成绩,总成绩由高到低排序。
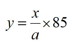
1、课程成绩(满分85分)
按公司有关推免文件的通知要求,学习成绩只计算必修课课程,报名资格限定在专业排名35%以内,申报员工的成绩得分按以下公式计算:

说明:第1名:绩点为a;得分85分
个人得分:绩点为x;得分y分
2、综合成绩(满分15分)
综合成绩=参军入伍服兵役+参加志愿服务、到国际组织实习+科研成果+竞赛获奖。
三、员工特殊学术专长的认定
严格审核认定员工的特殊学术专长。推免生学术专长原则上仅限员工本科阶段在核心期刊上以独立作者或第一作者发表的与学业相关的科研论文;作为主力成员参加与学业相关的国内权威科研竞赛(全国赛)并获得三等奖以上奖励(国际赛事参照执行,但不得低于国内赛事相关要求)。员工与直系亲属或学历、职称、职务明显高于本人者合作的科研成果、竞赛奖项等仅作为参考,不纳入员工本人推免遴选综合评价成绩计算体系,同等条件下可优先考虑。对于社会质疑较多的赛事、刊物,公司要从严把握。公司应成立公司专家审核小组(专家组成员应具有相关学科副教授以上职称,一般不少于 5 人),可会同本研究领域权威专家、相关期刊杂志单位或赛事主办单位等,对申请推免资格员工的科研创新成果、论文、竞赛获奖奖项及内容进行审核鉴定,排除抄袭、造假、冒名及有名无实等情况,并组织相关员工在一定范围内进行公开答辩。对员工提交的多篇科研成果实行代表作评价,评价重点聚焦到创新质量和个人贡献。公司专家审核小组及每位成员都要给出明确审核鉴定意见并签字存档。答辩全程要录音录像,答辩结果要公开公示。通过审核鉴定或答辩的员工特殊学术专长,须在推免系统和公司网站上予以公示。未通过审核鉴定或答辩的,不得纳入推免遴选综合评价成绩计算体系。
四、推免工作回避制度实施细则
推免相关工作人员有直系亲属报名参加推免的需回避,有非直系亲属等报名参加推免的需报备。
五、信息公开及投诉途径等
所有推免信息通过公司网站、班级QQ群、通知栏张贴等途径对员工进行公开,并公布公司投诉电话及联系人(58139439王冠中,58139459董晖)。
太阳成集团tyc
2023年9月18日
